Habla con Tutor Universitario
¿Te interesa este ejercicio?
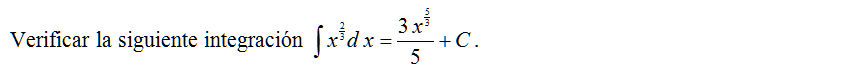
Producto: EJERCICIO 23
SKU:
URL: https://www.tutoruniversitario.com/tienda/calculo-integral/la-integral-indefinida/reglas-elementales-de-integracion/funciones-algebraicas-ii/el-integrando-se-reduce-a-un-solo-termino/ejercicio-23-61
Valoraciones
No hay valoraciones aún.