Descripción
Problem 10-21 from Dahm – Visco. Page 465.
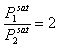
Realice el diagrama xy para una mezcla binaria a temperatura constante si la relación de las presiones de vapor es:
a) ![]()
b) ![]()
Ponga ambos en la misma gráfica. Suponga que la Ley de Raoult se cumple para este sistema y establezca P1sat = 1 bar. ¿Qué sistema, A o B, es más fácil de separar? Explica tu respuesta.
Produce the xy diagram for a binary mixture at constant temperature if the ratio of the vapor pressures is:
a) ![]()
b) ![]()
Put both on the same plot. Assume Raoult’s Law holds for this system and set P1sat = 1 bar. Which system, A or B, is easier to separate? Explain your answer.




Valoraciones
No hay valoraciones aún.