Descripción
Segundo coeficiente virial de la ecuación de Berthelot.
Problema 11.9 del García – Ponce. Página 92.
La ecuación de Berthelot es una ecuación cúbica de estado dada por la siguiente ecuación:
![]()
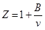
Esta ecuación de estado puede ser expresada como una ecuación de la siguiente forma:
![]()
donde Z es el factor de compresibilidad y B es el segundo coeficiente virial. Demuestre que:
![]()
The Berthelot equation is a cubic equation of state given by the following equation:
![]()
This equation of state can be expressed as an equation of the following form:
![]()
where Z is the compressibility factor and B is the second-order virial coefficient. Show that:
![]()




Valoraciones
No hay valoraciones aún.