Descripción
Segundo coeficiente virial de la ecuación de Dieterici.
La ecuación de Dieterici es una ecuación de estado dada por la siguiente ecuación:

Esta ecuación de estado puede ser expresada como una ecuación de la siguiente forma:
![]()
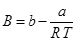
donde Z es el factor de compresibilidad y B es el segundo coeficiente virial. Demuestre que:
![]()
The Dieterici equation is a equation of state given by the following equation:

This equation of state can be expressed as an equation of the following form:
![]()
where Z is the compressibility factor and B is the second-order virial coefficient. Show that:
![]()




Valoraciones
No hay valoraciones aún.