Habla con Tutor Universitario
¿Te interesa este ejercicio?
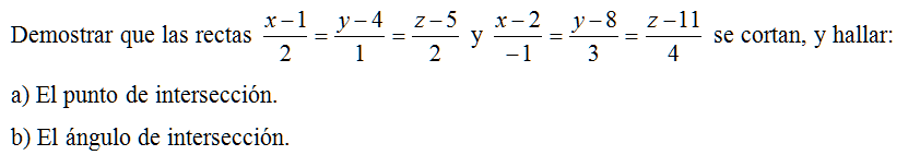
Producto: EJERCICIO 11
SKU:
URL: https://www.tutoruniversitario.com/tienda/calculo-vectorial/geometria-analitica-en-r3-rectas-y-planos/rectas-en-r3/posicion-relativa-de-dos-rectas/ejercicio-11-88
Valoraciones
No hay valoraciones aún.