Descripción
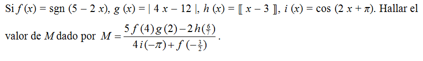
Si f (x) = sgn (5 – 2 x), g (x) = | 4 x – 12 |, h (x) = ⟦ x – 3 ⟧, i (x) = cos (2 x + π). Hallar el valor de M dado por \(\displaystyle M=\frac{5f\;(4)\;g\;(2)-2h\;(\frac{6}{7})}{4i\;(-\pi)+f\;(-\frac{3}{2})}\).
Respuesta: \(M=\frac{14}{3}\).


Valoraciones
No hay valoraciones aún.