Habla con Tutor Universitario
¿Te interesa este ejercicio?
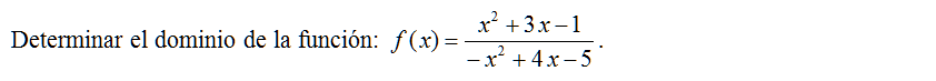
Producto: EJERCICIO 02
SKU:
URL: https://www.tutoruniversitario.com/tienda/calculo-diferencial/funciones/funcion-racional/el-denominador-tiene-raices-reales-y-raices-complejas/ejercicio-02-43
Valoraciones
No hay valoraciones aún.