Descripción
Problema 45. Capítulo 2 del Córdova. Página 86.
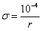
Sobre un disco de radio R = 0.5 m ubicado en el plano x = 0 se ha distribuido una carga con una densidad no uniforme tal que su densidad de carga está dada por
(C/m2). Determine E en el punto sobre el eje x situado a una distancia de 3 m desde el centro del disco.




Valoraciones
No hay valoraciones aún.