Descripción
Un disco de radio R tiene una carga superficial por unidad de área σ que varía con el radio como
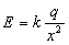
, en donde σ0 es una constante y r una distancia variable radial. Determinar el campo eléctrico a una distancia x del plano del disco a lo largo de su eje mediante: a) Integración directa, b) Combinando los resultados de ejemplos precedentes. c) Demostrar que esta expresión se reduce a
para x >> R, donde q = – 3 π σ0R2 es la carga total del disco.





Valoraciones
No hay valoraciones aún.