Descripción
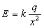
Un anillo circular de radio a con una distribución de carga lineal λ = λ0 (1 + cos θ), siendo λ0 una constante. Determinar: a) El campo eléctrico a una distancia x del eje del anillo, b) Demostrar que esta expresión se reduce a
para x >> a, donde q = 2 π λ0 a es la carga total del anillo. Explicar por qué este resultado.




Valoraciones
No hay valoraciones aún.