Descripción
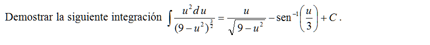
Demostrar la siguiente integración \( \displaystyle \int \frac{u^2d\,u}{(9-u^2)^{\frac{3}{2}}}=\frac{u}{\sqrt{9-u^2}}-\sin\left(\frac{u}{3}\right)+C\).
Referencia: Problema 6. Sección 135 del Granville – Smith – Longley. Página 268.
Banco de datos de ejercicios propuestos y resueltos en Ingeniería.

Demostrar la siguiente integración \( \displaystyle \int \frac{u^2d\,u}{(9-u^2)^{\frac{3}{2}}}=\frac{u}{\sqrt{9-u^2}}-\sin\left(\frac{u}{3}\right)+C\).
Referencia: Problema 6. Sección 135 del Granville – Smith – Longley. Página 268.
Valoraciones
No hay valoraciones aún.