Descripción
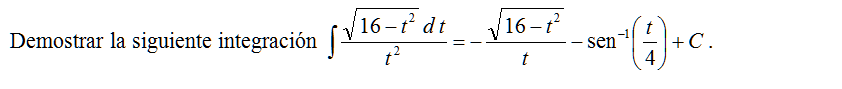
Demostrar la siguiente integración \( \displaystyle \int \frac{\sqrt{16-t^2}\,d\,t}{t^2}=-\frac{\sqrt{16-t^2}}{t}-\sin^{-1}\left(\frac{t}{4}\right)+C\).
Referencia: Problema 12. Sección 135 del Granville – Smith – Longley. Página 268.
Banco de datos de ejercicios propuestos y resueltos en Ingeniería.

Demostrar la siguiente integración \( \displaystyle \int \frac{\sqrt{16-t^2}\,d\,t}{t^2}=-\frac{\sqrt{16-t^2}}{t}-\sin^{-1}\left(\frac{t}{4}\right)+C\).
Referencia: Problema 12. Sección 135 del Granville – Smith – Longley. Página 268.
Valoraciones
No hay valoraciones aún.