Habla con Tutor Universitario
¿Te interesa este ejercicio?
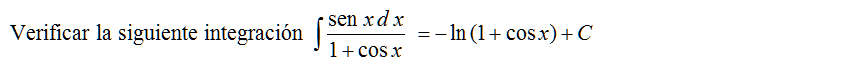
Producto: EJERCICIO 28
SKU:
URL: https://www.tutoruniversitario.com/tienda/calculo-integral/la-integral-indefinida/reglas-elementales-de-integracion/funciones-trigonometricas-ii/ejercicio-28-57
Valoraciones
No hay valoraciones aún.