Habla con Tutor Universitario
¿Te interesa este ejercicio?
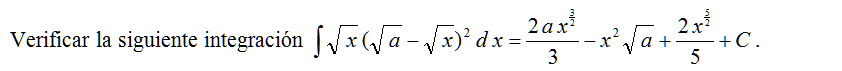
Producto: EJERCICIO 24
SKU:
URL: https://www.tutoruniversitario.com/tienda/calculo-integral/la-integral-indefinida/reglas-elementales-de-integracion/funciones-algebraicas-ii/el-integrando-se-reduce-a-terminos-con-potencias-racionales-positivas/ejercicio-24-65
Valoraciones
No hay valoraciones aún.