Habla con Tutor Universitario
¿Te interesa este ejercicio?
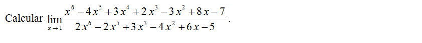
Producto: EJERCICIO 28
SKU:
URL: https://www.tutoruniversitario.com/tienda/calculo-diferencial/limites/limites-indeterminados/expresiones-racionales/factorizacion-usando-el-metodo-de-ruffini/factores-simples/ejercicio-28-52
Valoraciones
No hay valoraciones aún.