Habla con Tutor Universitario
¿Te interesa este ejercicio?
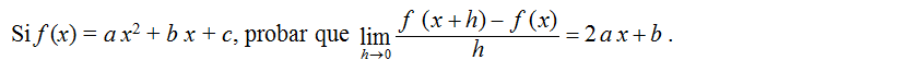
Producto: EJERCICIO 43
SKU:
URL: https://www.tutoruniversitario.com/tienda/calculo-diferencial/limites/limites-indeterminados/expresiones-racionales/factorizacion-por-factor-comun/ejercicio-43-35
Valoraciones
No hay valoraciones aún.