Habla con Tutor Universitario
¿Te interesa este ejercicio?
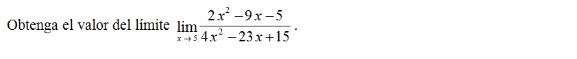
Producto: EJERCICIO 56
SKU:
URL: https://www.tutoruniversitario.com/tienda/calculo-diferencial/limites/limites-indeterminados/expresiones-racionales/factorizacion-del-trinomio-ax2bxc/ejercicio-56-20
Valoraciones
No hay valoraciones aún.