Descripción
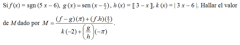
Si f (x) = sgn (5 x – 6), , h (x) = ⟦ 3 – x ⟧, k (x) = | 3 x – 6 |. Hallar el valor de M dado por \(\displaystyle M=\frac{(f-g)\;(\pi)+(f.h)\;(\frac{9}{2})}{\displaystyle k (-2)+\left(\frac{g}{h}\right)\;(-\pi)}\).
Respuesta: \(M=-\frac{12}{73}\).

Valoraciones
No hay valoraciones aún.