Descripción
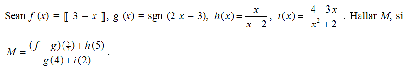
Sean f (x) = ⟦ 3 – x ⟧, g (x) = sgn (2 x – 3), \(\displaystyle h\;(x)=\frac{x}{x-2}\), \(\displaystyle i\;(x)= \bigg\vert\frac{4-3x}{x^2+2}\bigg\vert\). Hallar M, si \(\displaystyle M=\frac{(f-g)\;(\frac{5}{2})+h\;(5)}{g\;(4)+i\;(2)}\).
Respuesta: \(M=\frac{1}{2}\).

