Habla con Tutor Universitario
¿Te interesa este ejercicio?
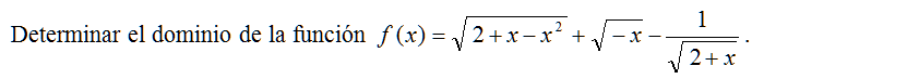
Producto: EJERCICIO 22
SKU:
URL: https://www.tutoruniversitario.com/tienda/calculo-diferencial/funciones/operaciones-con-funciones/operaciones-con-funciones-algebraicas/dominio-de-operaciones-con-funciones-algebraicas/ejercicio-22-78
Valoraciones
No hay valoraciones aún.