Habla con Tutor Universitario
¿Te interesa este ejercicio?
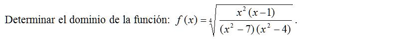
Producto: EJERCICIO 13
SKU:
URL: https://www.tutoruniversitario.com/tienda/calculo-diferencial/funciones/funcion-radical/indice-par/la-cantidad-subradical-genera-solo-raices-reales/ejercicio-13-91
Valoraciones
No hay valoraciones aún.