Ir al contenido
Tutor Universitario
Banco de datos de ejercicios propuestos y resueltos en Ingeniería.
Menú
MENU
MENU
INICIO
ASIGNATURAS
CÁLCULO DIFERENCIAL
Funciones
Relaciones
Definición de función
Diagramas de Venn
Conjunto de pares ordenados
Ecuación
Gráfico
Función cuadrática
Función racional
El denominador es un polinomio de grado 1
El denominador tiene sólo raíces reales
El denominador tiene raíces reales y raíces complejas
Función radical
Índice impar
Índice par
Función arco de circunferencia
Arco centrado en el origen
Arco centrado en ( h , k )
Completación de cuadrado
Funciones ramificadas
Evaluación de funciones ramificadas
Gráfico de las funciones ramificadas
Función valor absoluto
Evaluación de la función valor absoluto
Gráfico de la función valor absoluto
Función signo
Función parte entera
Operaciones con funciones
Operaciones con funciones algebraicas
Dominio de operaciones con funciones algebraicas
Evaluación de operaciones con funciones algebraicas
Operaciones con funciones ramificadas
Dominio de operaciones con funciones ramificadas
Evaluación de operaciones con funciones ramificadas
Gráfica de operaciones con funciones ramificadas
Composición de funciones
Evaluación de funciones
Dominio y rango de funciones
Función constante
Función lineal
Límites
Derivadas
Aplicaciones de la derivada
Optimización
Teoría de números
Alambre que se dobla
Optimización del área cercada
Optimización de la cantidad de papel
Cajas y paralelepípedos
CÁLCULO INTEGRAL
Funciones trascendentes
Funciones hiperbólicas inversas
Definición de funciones hiperbólicas inversas
La integral indefinida
Técnicas de integración
Sustitución trigonométrica
Sustitucion usando x = a sen θ
Directas
a es irracional
b x = a sen θ
Completación de cuadrado
Cambio de variable previo
CÁLCULO VECTORIAL
Transformaciones de una región. Jacobiano
Cambio de variable en integrales múltiples
ECUACIONES DIFERENCIALES
Solución en Serie de Potencias
Puntos ordinarios
La transformada de Laplace
Por definición
ESTADÍSTICA
Prueba de hipótesis
Media poblacional II
FÍSICA II (ELECTRICIDAD Y MAGNETISMO)
Carga y materia
Densidad de carga volumétrica
Cilindros
Esferas
Conductores
Induccion de cargas eléctricas
Cilindros
Esferas
Cuantización de la carga eléctrica
Densidad de carga lineal
Varillas
Anillos
Densidad de carga superficial
Cáscaras semiesféricas
Láminas
Discos
Esferas
La ley de Coulomb
Cálculo de la fuerza eléctrica
Cargas distribuidas I
Varillas I
Anillos I
Discos I
Cáscaras semi esféricas I
El campo eléctrico
Cargas puntuales II
Movimiento de cargas en un campo eléctrico
Cargas distribuidas II
Varillas II
Anillos II
Discos II
Láminas planas II
Cáscaras semi esféricas II
Flujo de campo eléctrico
Cargas puntuales III
Cargas distribuidas III
Superficies regulares planas
Superficies regulares curvas
La ley de Gauss
Simetría esférica
No conductores I
Conductores I
Simetría cilíndrica
No conductores II
Conductores II
FÍSICA III (OSCILACIONES Y ONDAS)
Movimiento oscilatorio
Oscilaciones libres (Movimiento armónico simple)
Sistema masa - resorte
Péndulo
Circuitos LC
Energía en el movimiento armónico simple
Oscilaciones amortiguadas
Identificación del tipo de amortiguamiento
Sistema críticamente amortiguado
Sistema sobreamortiguado
Sistema subamortiguado (u oscilatorio)
Preliminares
Variación de la amplitud con el tiempo
Energía en el movimiento oscilatorio amortiguado
Ecuación de movimiento
Oscilaciones forzadas
Resonancia
MECÁNICA VECTORIAL
Estática de partículas
Equilibrio de una partícula en el plano
Componentes a partir de ángulos directores
Cuerpos rígidos - sistemas equivalentes de fuerzas
Con respecto a un punto en el plano
Con respecto a un punto en el espacio
Con respecto a un eje dado
En el plano I
Equilibrio de cuerpos rigidos
Equilibrio en dos dimensiones
Equilibrio en tres dimensiones
Centroide de un área
Placas compuestas
Por integración
Análisis de estructuras
Método de los nodos
Método de las secciones
Armazones
Momento de inercia de un área - por integración
FISICOQUÍMICA
TERMODINÁMICA BÁSICA
Manómetros compuestos
Dos propiedades específicas (v, u, h, s)
Propiedades de una sustancia pura
Máquinas Térmicas
Ecuaciones de estado
Van der Waals
Beattie - Bridgeman
Berthelot
Correlaciones de Pitzer
Soave - Redlich - Kwong
Virial
Dieterici
Peng - Robinson
Redlich - Kwong
Trabajo
Líquidos y vapores
TERMODINÁMICA QUÍMICA
Equilibrio líquido-vapor
Ley de Raoult
Procedimientos matemáticos I
Diagramas presión - composición I
Diagramas temperatura - composición I
Aplicación de los diagramas de equilibrio I
Volatilidad relativa I
Presión de burbuja I
Presión de rocío I
Temperatura de burbuja I
Temperatura de rocío I
Cálculos de equilibrio líquido – vapor I
Separación instantánea I
Diagramas de DePriester
Procedimientos matematicos II
Presión de burbuja II
Presión de rocío II
Temperatura de burbuja II
Temperatura de rocío II
Separación instantánea II
Determinación de la condición termodinámica
Determinación de la fracción de líquido y vapor
Determinación de la presión
Determinación de la temperatura
FENÓMENOS DE TRANSPORTE
Distribuciones de velocidad en flujo laminar
Sistemas rectangulares II
Sistemas radiales II
Flujo en láminas
Ecuaciones de variación para sistemas isotérmicos
Balances macroscópicos en sistemas isotérmicos
Bombas
Sistemas tipo III
FORMULARIOS
Matemáticas
Física
Estadística
CURSOS
Condiciones de Servicio
Horario de disponibilidad
Contactar Usuarios
Tipo de cambio de referencia BCV.
AUTOR
BUSCAR EJERCICIOS
En catálogo de materia y tema
Por libro-autor-edición y enunciado
CHAT DE USUARIOS
0 artículos
$ 0,00
Inicio
/
MATEMÁTICA I (CÁLCULO DIFERENCIAL)
/
Funciones
/
Evaluación de funciones
/ EJERCICIO 17
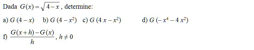
EJERCICIO 17
Categorías:
Evaluación de funciones
,
Funciones
,
MATEMÁTICA I (CÁLCULO DIFERENCIAL)
Productos relacionados
EJERCICIO 19
$
3,00
Añadir al carrito
EJERCICIO 13
$
3,00
Añadir al carrito
EJERCICIO 02
$
3,00
Añadir al carrito
EJERCICIO 10
$
3,00
Añadir al carrito
Habla con Tutor Universitario
WhatsApp
Habla con Tutor Universitario
¿Te interesa este ejercicio?
Producto:
EJERCICIO 17
SKU:
URL:
https://www.tutoruniversitario.com/tienda/calculo-diferencial/funciones/evaluacion-de-funciones/ejercicio-17-82
Abrir chat